9. CORTE FRICCIÓN Y BRAQUETAS
9.1 BASES DE DISEÑO
9.1.1 INTRODUCCION
El corte por fricción proporciona un método de diseño, donde se considera la transferencia de corte a través de un plano dado en vez de evitar las fallas por tracción diagonal del hormigón. Ejemplos de elementos diseñados por corte por fricción corresponden a uniones de hormigones de distintas edades, uniones entre elementos de hormigón y de acero, detalles de armaduras para estructuras prefabricadas, uniones de materiales distintos, etc.
![]() |
| Fig. “Aplicaciones de corte por fricción y ubicación de fisuras” |
La ecuación principal para el diseño de elementos de hormigón armado por corte por fricción, según el Método de Rotura, esta dada por la siguiente expresión:
ΦVn ≥Vu
El procedimiento supone que se produce una grieta en el hormigón a lo largo del plano de corte considerado; luego, se proporciona armadura a través de la grieta supuesta, tal que
resista los desplazamientos relativos a lo largo de la misma.
No olvidar que cuando existen esfuerzos de corte en una grieta, se produce un desplazamiento de una cara con respecto a la otra cara. Si estas caras son ásperas e irregulares, se produce un desplazamiento y una separación de las caras. En condiciones ultimas, esta separación lleva a la armadura colocada a su fluencia; por lo tanto, la armadura proporciona una fuerza de sujeción Avf f y , a través de la cara de la grieta. Luego, el corte aplicado es resistido por la fricción entre las caras de la grieta, por resistencia al corte de las protuberancias y por traspaso a la armadura que cruza la grieta.
9.1.2 RESISTENCIA AL CORTE NOMINAL V n:
La resistencia nominal al corte esta dado en función de la ubicación de la armadura de refuerzo:
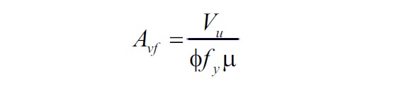
i. Cuando la armadura de corte por fricción es perpendicular al plano de corte, la resistencia al corte V n debe calcularse mediante la siguiente expresión:
De esta expresión y de la ecuación principal de diseño ΦVn ≥Vu , se deduce la expresión general para la armadura por corte por fricción, Avf , la cual corresponde a:
ii. Cuando la armadura de corte por fricción esta inclinada con respecto al plano de corte, tal que el esfuerzo de corte produce tracción en la armadura de corte, la resistencia al corte Vn debe calcularse mediante la siguiente expresión:
Luego, la armadura por corte por fricción, Avf , se determina por la expresión:
Cabe destacar que en este método de diseño, la resistencia al corte se debe principalmente a la fricción entre las caras de la grieta (plano de corte).
![]() |
| “Idealización de una sección sometida a corte por fricción inclinado” |
donde :
V n: Resistencia nominal del hormigón.
V u: Esfuerzo de corte último (o mayorado).
Avf : armadura de corte por fricción.
αf : ángulo entre la armadura de corte por fricción y el plano de corte supuesto.
μ: coeficiente de fricción (ver tabla siguiente), que depende del tipo colocación del hormigón y de la densidad de este.
Coeficiente de Fricción, μ:
9.1.3 LIMITACIONES PARA LOS MATERIALES
En todos los casos, la resistencia nominal del hormigón V n debe limitarse a los siguientes valores:
Recomendaciones prácticas:
1. La Tracción neta a través del plano de corte debe ser resistida mediante armadura adicional, es decir, existe armadura para tracción superpuesta a la armadura por corte por fricción.
2. La armadura de corte por fricción debe colocarse a lo largo del plano de corte, y debe estar anclada para desarrollar la tensión de fluencia.
3. Cuando se hormigona sobre hormigón endurecido previamente, la interfaz donde se produce la transferencia de corte debe estar limpia y libre de lechada (seguir las recomendaciones para tratamientos de juntas frías). Además, cuando se utiliza un
hormigón con μ= 1.0 λ, la interfaz debe ser rugosa, ± 5 mm.
4. Cuando existe una interfaz entre acero y hormigón, el acero debe colocarse limpio
y libre de pintura.
3. ARMADURA POR CORTE POR FRICCIÓN, Avf :
El diseño de la armadura al corte por fricción Avf para resistir el esfuerzo de corte Vu
debe cumplir con los requisitos dados por Corte por fricción (ver 9.2).
Las limitaciones para la resistencia nominal del hormigón Vn es función del tipo de hormigón a usar:
4. ARMADURA PARA FLEXIÓN, Af :
El diseño por flexión se debe realizar según el método de rotura (flexión), para un momento de diseño de Momento = Nuc (h - d) + Vu a; encontrando el área de flexión Af para la
ménsula.
5. ARMADURA PARA TRACCIÓN, An:
Se utiliza la siguiente relación para encontrar el área a tracción (ver punto 9.3):
Nuc ≤ ΦAn.fy
Además, se debe cumplir la relación , a menos que se tomen disposiciones especiales para evitar los esfuerzos de tracción. Nuc se debe considerar como sobrecarga.
6. ARMADURA DISPUESTA, As:
Una vez calculados todas las áreas necesarias, la armadura de tracción primaria Asdispuesta en la cartela debe ser el máximo valor de:
![]() |
| “Armaduras de refuerzo en una cartela” |
Además, en una distancia de 2/3d desde el borde superior se deben colocar estribos cerrados o amarras paralelas a la armadura principal As, donde la armadura horizontal Ah debe cumplir con:
Ah ≥ 0.5(As-An )
donde: Ah: área de la armadura por corte paralela a la armadura de tracción.
7. ANCLAJE DE LA ARMADURA:
En la cara frontal de la cartela, la armadura principal As debe anclarse por alguna de las siguientes formas:i. por soldadura estructural a una barra transversal, de igual o mayor diámetro.
ii. por doblado de las barras principales de tracción, para formar un lazo horizontal.
iii. por anclaje activo.
9.3 DISPOSICIONES ESPECIALES DE CORTE PARA ELEMENTOS DEGRAN ALTURA SOMETIDOS A FLEXIÓN
Las disposiciones especiales para elementos de gran altura sometidos a flexión, contenidas en ACI 318-99 Capitulo 11.8 son válidas para las siguientes condiciones:- l n/d≤ 5
- Elementos cargados en una de sus caras y soportados en su cara opuesta, tal que, se producen puntales de compresión entre cargas y apoyos. Si las cargas se aplican a los lados o por la parte inferior de cualquier elemento, el diseño por corte debe ser igual que para vigas corrientes.
donde
l n: Luz libre, medida entre cara y cara de los apoyos.
d: Altura libre de la viga.
La armadura longitudinal deberá prolongarse a los apoyos y anclarse adecuadamente por medio de una longitud embebida, ganchos o soldaduras a dispositivos especiales. No se recomiendan barras diagonales.
Si el termino ln/h disminuye, la resistencia al corte del hormigón V c aumenta por sobre el corte que provoca el agrietamiento diagonal de tracción (inclinación de agrietamiento diagonal > 45º); por lo tanto, en vigas altas se debe colocar armadura para tomar tanto el corte horizontal como el corte vertical.
9.3.1 DISEÑO AL CORTE
El diseño por corte de elementos de gran altura simplemente apoyados, sujetos a flexión, debe basarse en las siguientes expresiones:
ΦVn ≥Vu
Vn =Vc+Vs
El diseño por corte de elementos continuos de gran altura, sujetos a flexión, se realiza de acuerdo a los procedimientos regulares de diseño de vigas, excepto en la definición de la zona critica.
![]() |
| Valor de βc para área de carga no rectangular |
9.5.3 RESISTENCIA NOMINAL V n y RESISTENCIA DEL ACERO Vs
La resistencia nominal al corte Vn se debe calcular de manera habitual, es decir, con la expresión Vn =Vc +Vs .Además, se debe cumplir las siguientes relaciones para Vn y Vcrespectivamente:
Por otra parte, el valor de la resistencia al corte proporcionado por el acero Vs y el área de la armadura requerida Av debe ser calculado de manera habitual.
Por tratarse de esfuerzos de corte, el coeficiente de reducción de la resistencia Φ debe ser tomado igual a 0.85














No hay comentarios.:
Publicar un comentario